ÌâÄ¿ÄÚÈÝ
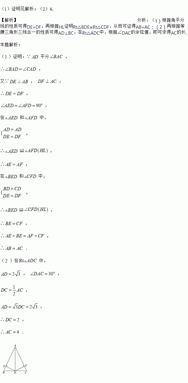
Èçͼ£¬ÔÚÖУ¬ ƽ·Ö£¬ÇÒ£¬ Óڵ㣬 Óڵ㣮
£¨£©ÇóÖ¤£º £®
£¨£©Èô£¬ £¬ÇóµÄ³¤£®
ÏÂÁÐ˵·¨ÖÐÕýÈ·µÄÊÇ( )
¢Ù¡¢£x¶¼±íʾ¸ºÊý ¢Ú¡¢¶àÏîʽ£2ab2£«3ab£«5ab2µÄ´ÎÊýÊÇ8
¢Û¡¢ ¢Ü¡¢
A. 0¸ö B. 1¸ö C. 2¸ö D. 3¸ö
·½³Ì3x2£x+=0µÄ¶þ´ÎÏîϵÊýÓëÒ»´ÎÏîϵÊý¼°³£ÊýÏîÖ®»ýΪ£¨ £©
A. 3 B. £ C. D. £9
É裬¹ØÓÚµÄÒ»´Îº¯Êý£¬µ±Ê±µÄ×î´óÖµÊÇ£¨ £©£®
A. B. C. D.
Æ½ÃæÖ±½Ç×ø±êϵÖУ¬µãÔÚµÚÈýÏóÏÞ£¬ÔòµÄÖµ¿ÉÄÜÊÇ£¨ £©£®
Èçͼ£¬ÔÚÖУ¬ £¬ £¬µãÊÇÉϵ͝µã£¬¹ýµã×÷Óڵ㣬 Óڵ㣬Ôò__________£®
Èçͼ£¬ ÖУ¬ £¬µã¡¢ÔÚ¡¢ÉÏ£¬ÑØÏòÄÚÕÛµþ£¬µÃ£¬ÔòͼÖеÈÓÚ£¨ £©£®
º¯ÊýÓëy=£2xµÄͼÏóµÄ½»µãµÄ×ø±êÊÇ____________£®
Èô½«Èý¸öÊý££¬ £¬ ±íʾÔÚÊýÖáÉÏ£¬ÆäÖÐÄܱ»ÈçͼËùʾµÄÄ«¼£¸²¸ÇµÄÊýÊÇ£¨ ¡¡£©
A. £ B. C. D. ºÍ