题目内容
在直角坐标系中,把四边形ABCD以原点O为位似中心放缩,得到四边形AˊBˊCˊDˊ.若点A和它的对应点Aˊ的坐标分别为(2,3),(6,9),则=______
如图,在ABCD中,点P是AB的中点,PQ∥AC交BC于点Q,连接AQ,CP,则图中与△APC面积相等的三角形有________个.
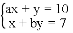
在解方程组时,由于粗心,甲看错了方程组中的a,而得到方程组的解为 ,乙看错了方程组中的b,而得到方程组的解为,
(1)甲把a看成了什么?乙把b看成了什么?
(2)求出原方程组的正确解.
如图,已知正方形的边长为,点是边上的一个动点,连接,过点作的垂线交于点,以为边作正方形,顶点在线段上,对角线、相交于点.(1)若,则 ;
(2)①求证:点一定在的外接圆上;
②当点从点运动到点时,点也随之运动,求点经过的路径长;
(3)在点从点到点的运动过程中,的外接圆的圆心也随之运动,求该圆心到边的距离的最大值.
某校计划成立学生社团,要求每一位学生都选择一个社团,为了了解学生对不同社团的喜爱情况,学校随机抽取了部分学生进行“我最喜爱的一个学生社团”问卷调查,规定每人必须并且只能在“文学社团”、“科学社团”、“书画社团”、“体育社团”和“其他”五项中选择一项,并将统计结果绘制了如下两个
请解答下列问题:
(1) , ;
(2)在扇形统计图中,“书画社团”所对应的扇形圆心角度数为 ;
(3)若该校共有3000名学生,试估计该校学生中选择“文学社团”的人数.
若在实数范围内有意义,则实数x的取值范围是___.
如果,那么下列正确的是( )
A. 3<a<4 B. 2<a<3 C. 1<a<2 D. 4<a<5
如果关于x的一元二次方程kx2﹣3x﹣1=0有两个不相等的实根,那么k的取值范围是__.
甲地离学校,乙地离学校,记甲乙两地之间的距离为,则的取值范围为_____________.