题目内容
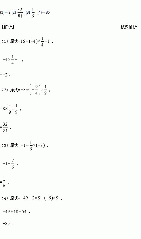
计算:
(1) ;
(2) ;
(3) ;
(4) .
(2016·江西中考)如图所示,△ABC中,∠BAC=33°,将△ABC绕点A按顺时针方向旋转50°,对应得到△AB′C′,则∠B′AC的度数为________.
若抛物线y=(x-m)2+(m+1)的顶点在第一象限,则m的取值范围为( )
A. m>1 B. m>0 C. m>-1 D. -1<m<0
学校新开设了航模、彩绘、泥塑三个社团,如果征征、舟舟两名同学每人随机选择参加其中一个社团,那么征征和舟舟选到同一社团的概率是( )
A. B. C. D.
若x=-1,则x+x2+x3+x4+…+x2015=________.
有理数的混合运算:进行有理数的混合运算时,应注意以下运算顺序:
(1)先________,再________,最后________;
(2)同级运算,从________到________进行;
(3)如有括号,先做括号内的运算,按________括号、________括号、________括号依次进行.
化简求值: ,其中x=3.
下列图案中,属于轴对称图形的是( )
A. B. C. D.
如图,已知AB=AC,BD=CD,则可推出( )
A. △ABD≌△BCD B. △ABD≌△ACD
C. △ACD≌△BCD D. △ACE≌△BDE