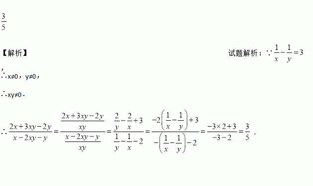
题目内容
若x、y满足,则分式 的值为_________.
将3米长的小棒第一次截去一半,第二次截去剩下的,剩下的小棒长为______米,若第三次又截去剩下的,…以此类推,则截了2015次后剩下 ________米。
一袋中装有形状大小都相同的四个小球,每个小球上各标有一个数字,分别是1,4,7,8.现规定从袋中任取一个小球,对应的数字作为一个两位数的个位数;然后将小球放回袋中并搅拌均匀,再任取一个小球,对应的数字作为这个两位数的十位数.
(1)写出按上述规定得到所有可能的两位数;
(2)从这些两位数中任取一个,求其算术平方根大于4且小于7的概率.
过正方体上底面的对角线和下底面一顶点的平面截去一个三棱锥所得到的几何体如图所示,它的俯视图为( )
A. B.
C. D.
若对x恒成立,则n=______.
点A(﹣4,3)关于x轴的对称点的坐标是______.
如图,AB∥DE,AC∥DF,AC=DF,下列条件不能判断△ABC≌△DEF的是( )
A. AB=DE B. ∠B=∠E C. EF∥BC D. EF=BC
有一数值转换器,原理如图所示,若开始输入x的值是7,可发现第1次输出的结果是12,第2次输出的结果是6,第3次输出的结果是__________,依次继续下去……第2 016次输出的结果是___________.
如图,已知在△ABC中,AB=AC,AD=8cm,BC=12cm,点E、F都在中线AD上,连接EB、EC、FB、FC,则图中阴影部分的面积为______.