题目内容
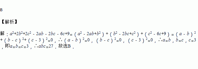
如果a,b,c满足a2+2b2+2c2-2ab-2bc-6c+9=0,则abc等于( )
A. 9 B. 27 C. 54 D. 81
已知有理数a、b、c在数轴上对应的点如图所示,则下列结论正确的是( )
A. c+b>a+b B. cb<ab C. ﹣c+a>﹣b+a D. ac>ab
当m_________时,函数y=的图象所在的象限内,y随x的增大而增大.
如图,水平放置的圆柱形排水管道的截面直径是1m,其中水面的宽AB为0.8m,则排水管内水的深度为 m.
分解因式:25m2﹣n2
计算﹣(﹣3a2b3)4的结果是( )
A. 81a8b12 B. 12a6b7 C. ﹣12a6b7 D. ﹣81a8b12
现有A、B、C三种型号地砖,其规格如图所示,用这三种地砖铺设一个长为x+y,宽为3x+2y的长方形地面,则需要A种地砖___________块.
如图,直线a⊥直线c,直线b⊥直线c,若∠1=70°,则∠2=( )
A. 70° B. 90° C. 110° D. 80°
一元二次方程(x﹣2018)2+2017=0的根的情况是( )
A. 有两个相等的实数根 B. 有两个不相等的实数根 C. 只有一个实数根 D. 无实数根