题目内容
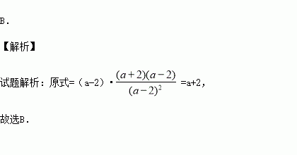
化简:(a-2)·的结果是( )
A.a-2 B.a+2 C. D.
由六个小正方体搭成的几何体如图所示,则它的主视图是( )
如图,AD是△ABC的角平分线,DE,DF分别是△ABD和△ACD的高,得到下面四个结论:
①OA=OD;②AD⊥EF;③当∠A=90°时,四边形AEDF是正方形;④AE2+DF2=AF2+DE2.
其中正确的是( )
A.②③④ B.②④ C.①③④ D.②③
如图,在矩形ABCD中,AB=12cm,BC=6cm.点E、F分别在AB、CD上,将矩形ABCD沿EF折叠,使点A、D分别落在矩形ABCD外部的点A1、D1处,则整个阴影部分图形的周长为_____________cm.
如图,抛物线的对称轴是直线,且经过点(3,0),则a-b+c 的值为( )
A. -1 B. 0 C. 1 D. 2
计算的结果等于( )
A. B. C. D.
今年“3.15”期间某商场为了吸引顾客,设计了一种促销活动:在一个不透明的箱子里放有4个相同的小球,球上分别标有“0元”、“10元”、“20元”和“30元”的字样.规定:同一日内,顾客在本商场每消费满200元,就可以在箱子里一次摸出两个球,商场根据两小球所标金额之和返还相应数额的购物券.某顾客刚好消费200元.
(1)该顾客至少可得到 元购物券,至多可得到 元购物券;
(2)请用树状图或列表求出该顾客所获得的购物券金额不低于30元的概率.
如图,已知AB是⊙的直径,点C,D在⊙上,∠ABC=50°,则∠D为
A.50° B.45° C.40° D. 30°
如图,已知平面直角坐标系中,直线y=kx(k≠0)经过点(a,a)(a>0).线段BC的两个端点分别在x轴与直线y=kx上(B、C均与原点O不重合)滑动,且BC=2,分别作BP⊥x轴,CP⊥直线y=kx,交点为P,经探究在整个滑动过程中,P、O两点间的距离为定值 .