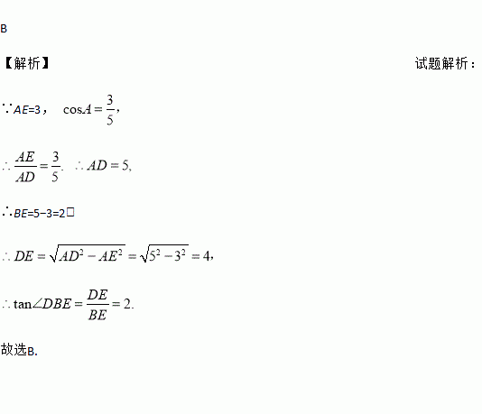
题目内容
如图,在菱形ABCD中,DE⊥AB,cosA=,AE=3,则tan∠DBE的值是( )
A. B. 2 C. D.
如图所示,某公司有三个住宅区可看作一点,A,B,C各区分别住有职工30人、15人、10人,且这三个住宅区在一条大道上(A,B,C三点共线),已知AB=100米,BC=200米.为了方便职工上下班,该公司的接送车打算在此间只设一个停靠点,为使所有的人步行到停靠点的路程之和最小,那么该停靠点的位置应设在( )
A. 点A B. 点B
C. A,B之间 D. B,C之间
等边三角形至少旋转 度才能与自身重合.
如图,在水平地面上有一幢房屋与一棵树,在地面观测点处测得屋顶与树梢的仰角分别是与, ,在屋顶处测得.若房屋的高米.求树高的长度.
一座楼梯的示意图如图所示,BC是铅垂线,CA是水平线,BA与CA的夹角为现要在楼梯上铺一条地毯,已知米,楼梯宽度1米,则地毯的面积至少需要
A. 米 B. 米 C. 米 D. 米
若|x+2y-5|+(2y+3z-13)2+(3z+x-10)2=0,试求x,y,z的值.
由方程组可以得到x+y+z的值等于( )
A. 8 B. 9 C. 10 D. 11
下列函数是二次函数的是( )
A. y=2x+1 B. y=-2x+1 C. y=+2 D. y=x-2
如图,EF∥AD,AD∥BC,CE平分∠BCF,∠DAC=120°,∠ACF=20°,求∠FEC的度数.