搜索
题目内容
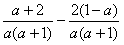
先化简,再求代数式的值:
,其中
。
试题答案
相关练习册答案
解:原式=
=
=
=
当
时,原式=
。
练习册系列答案
精析巧练系列答案
今日课堂课时作业系列答案
金版卷王课程探究大试卷系列答案
金榜之路系列答案
金点中考系列答案
金海全A突破系列答案
金考卷45套汇编系列答案
全景文化中考试题汇编3年真题2年模拟系列答案
金牌教练赢在燕赵系列答案
0系列答案
相关题目
先化简,再求代数式的值:
(
a+2
1-
a
2
-
2
a+1
)÷
a
1-a
,其中
a=
3
-1
.
先化简,再求代数式的值:
(
2
a+1
+
a+2
a
2
-1
)÷
a
a-1
,其中a=tan60°-2sin30°.
先化简,再求代数式的值.
(
1
m+n
-
1
m-n
)÷
2n
m
2
+2mn+
n
2
,其中
m=
3
+1
,
n=
3
-1
.
(2013•安阳一模)先化简,再求代数式的值.
(
2
a+1
+
a+2
a
2
-1
)÷
a
a+1
,其中a=(-1)
2012
+tan60°.
(1)化简:(2x+y)-(x+y).
(2)先化简,再求代数式的值:(2a
2
-ab+1)-2(a
2
-2ab+3),其中a=-
1
3
,b=2008.
关 闭
试题分类
高中
数学
英语
物理
化学
生物
地理
初中
数学
英语
物理
化学
生物
地理
小学
数学
英语
其他
阅读理解答案
已回答习题
未回答习题
题目汇总
试卷汇总
练习册解析答案