题目内容
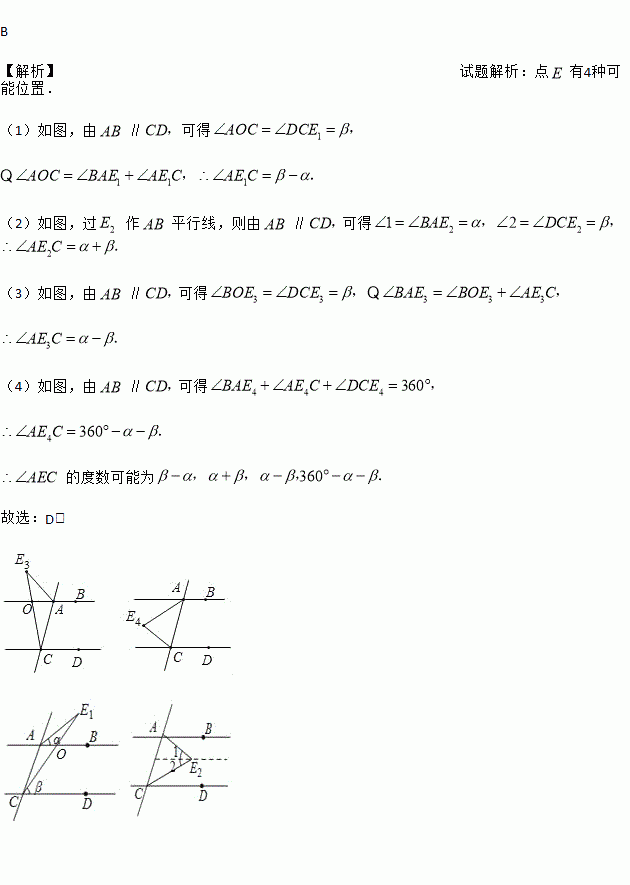
如图,已知直线AB、CD被直线AC所截,AB∥CD,E是平面内任意一点(点E不在直线AB、CD、AC上),设∠BAE=α,∠DCE=β.下列各式:①α+β,②α﹣β,③180°﹣α﹣β,,④360°﹣α﹣β,∠AEC的度数可能是( )
![]()
A. ①②③ B. ①②④ C. ①③④ D. ①②③④
练习册系列答案
相关题目
某公交公司有A,B型两种客车,它们的载客量和租金如下表:
A | B | |
载客量(人/辆) | 45 | 30 |
租金(元/辆) | 400 | 280 |
某中学根据实际情况,计划租用A,B型客车共5辆,同时送七年级师生到基地校参加社会实践活动.设租用A型客车x辆,根据要求回答下列问题:
(1)用含x的式子填写下表:
车辆数(辆) | 载客量 | 租金(元) | |
A | x | 45x | 400x |
B | 5﹣x |
|
|
(2)若要保证租车费用不超过1900元,求x的最大值.
某商场一名业务员12个月的销售额(单位:万元)如下表:
月份(月) | 1 | 2 | 3 | 4 | 5 | 6 | 7 | 8 | 9 | 10 | 11 | 12 |
销售额(万元) | 6.2 | 9.8 | 9.8 | 7.8 | 7.2 | 6.4 | 9.8 | 8 | 7 | 9.8 | 10 | 7.5 |
则这组数据的众数和中位数分别是( )
A. 10,8 B. 9.8,9.8 C. 9.8,7.9 D. 9.8,8.1