题目内容
汽车尾气排放出的气体主要有NO和NO2,它们污染环境。可用氨气(NH3)除去有害气体,该反应的化学方程式为2NH3+NO+NO2
2N2+3H2O。若反应后得到2.8g的N2,理论上需要氨气的质量多少克?
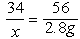
解:设需要氨气的质量为x。
2NH3+NO+NO2
2N2+3H2O
34 56
x 2.8g

x=1.7g
答:需要氨气的质量1.7g。
2NH3+NO+NO2
34 56
x 2.8g
x=1.7g
答:需要氨气的质量1.7g。
练习册系列答案
相关题目