17.(共19分)

Ⅰ:现有CH4、C2H4、C2H2、C2H6、C3H8五种有机物,回答下列问题:

⑴质量相同时:在相同状况下体积最大的是__ ____

完全燃烧时消耗O2的量最多的是__  __

生成CO2最多的是___  _,生成水最多的是___ ___

⑵同温同压同体积时,五种物质完全燃烧消耗O2的量最多的是__ 

Ⅱ:有机化学中的反应类型较多,将下列反应归类(填序号)。

①乙苯的制备:       

②乙烷在空气中燃烧③乙烯使溴的四氯化碳溶液褪色④乙烯使酸性高锰酸钾溶液褪色⑤由乙烯制聚乙烯⑥甲烷与氯气在光照的条件下反应 ⑦溴乙烷和氢氧化钠的乙醇溶液共热⑧由甲苯制取TNT   

(1)其中属于取代反应的是      

属于氧化反应的是        ;属于加成反应的是   

属消去反应的是          属于聚合反应的是   

(2)写出⑦和⑧的化学方程式

                     

                     

Ⅲ:医药阿斯匹林的结构简式如图1所示:

              

图1              图2

试根据阿斯匹林的结构回答;

⑴阿斯匹林看成酯类物质,口服后,在胃肠酶的作用下,阿斯匹林发生水解反应,生成A和B 两种物质。其中A的结构简式如图2所示,则B的结构简式为          ;B中含有的官能团名称是      

⑵阿斯匹林跟NaHCO3同时服用,可使上述水解产物A与NaHCO3反应,生成可溶性盐随尿液排出,此可溶性盐的结构简式是           

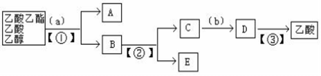
⑶写出阿斯匹林与足量氢氧化钠溶液共热的化学反应方程式         

 0  32213  32221  32227  32231  32237  32239  32243  32249  32251  32257  32263  32267  32269  32273  32279  32281  32287  32291  32293  32297  32299  32303  32305  32307  32308  32309  32311  32312  32313  32315  32317  32321  32323  32327  32329  32333  32339  32341  32347  32351  32353  32357  32363  32369  32371  32377  32381  32383  32389  32393  32399  32407  447348 

违法和不良信息举报电话:027-86699610 举报邮箱:58377363@163.com

精英家教网