23.(10分)某校高一化学研究性学习小组对日常生活中的    氯气用途进行了调查,了解到氯气可广泛地应用于衣物的漂 白、水体的杀菌和消毒等。

⑴氯气可以用于漂白、消毒的原因是氯气能与水作用形 成    具有    性的次氯酸,相关反应的离子方程式为   

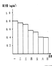
⑵在调查某室外游泳池夏季池水消毒情况时,小组成员了   解到,该游泳池每周一上午8∶00换水,然后通入氯气消毒,通常游泳池水的含氯量控制在0.5 mg/L至1.0mg/L之间时,效果最好。上图是该小组测定的每天19∶00时游泳池中水的 含氯量,有哪几天使用游泳池不卫生              

⑶你认为哪几天的天气炎热、阳光强烈      

说出一种理由是                  

⑷在对游泳池水中通入氯气消毒时,当发生氯气泄漏,应立即关闭氯气罐,还应采取下列自救方法      。(选填序号)

A.用湿润的毛巾捂住口鼻跑向低处

B.用浸湿小苏打或肥皂水的毛巾捂住口鼻跑向高处

C.用浸湿浓氨水的毛巾捂住口鼻匍匐跑至安全处

D.用浸湿食盐水的毛巾捂住口鼻顺风跑至安全处

⑸小型游泳池通常使用漂白液(NaClO溶液)而非氯气来消毒池水,试举出使用漂白液而非氯气的一项理由            

⑹请写出你知道的能用于自来水消毒的消毒剂(至少写两种)          

 0  18689  18697  18703  18707  18713  18715  18719  18725  18727  18733  18739  18743  18745  18749  18755  18757  18763  18767  18769  18773  18775  18779  18781  18783  18784  18785  18787  18788  18789  18791  18793  18797  18799  18803  18805  18809  18815  18817  18823  18827  18829  18833  18839  18845  18847  18853  18857  18859  18865  18869  18875  18883  447348 

违法和不良信息举报电话:027-86699610 举报邮箱:58377363@163.com

精英家教网