题目内容

在《用单摆测定重力加速度》的实验中,某同学用刻度尺测出从悬点到摆球顶端的悬线长度为L,又用游标卡尺测出摆球的直径为d,则该单摆的摆长应为        。为使周期测量精确,计时起点应从摆球经过       开始。某同学在计时时,错将摆球完成30次全振动记为31次,则他测出的重力加速度值比真实值      (选填:“偏大”或“偏小”);另一同学实验时,将摆线的长作为摆长,其它测量精确,则他测出的重力加速度值比真实值      (选填:“偏大”或“偏小”)。

 

【答案】

   最低点   偏小   偏大

【解析】

试题分析:单摆的摆长计算是从悬点到球心的距离,也就是把摆球看做一个质点。一次摆长为线长加半径,周期的测量容易出现较大误差,因为摆动过程中究竟到哪个位置算最高点无法准确判断,所以我们计时起点选为平衡位置最低点,我们可以事先把最低点标个记号。错将摆球完成30次全振动记为31次,则使得测量的周期偏小,根据单摆的周期公式,得出,周期偏小,重力加速度偏大。

考点:单摆测定重力加速度

 

练习册系列答案
相关题目
某实验小组在进行“用单摆测定重力加速度”的实验中,已知单摆在摆动过程中的摆角小于5°;在测量单摆的周期时,从单摆运动到最低点开始计时且记数为1,到第n次经过最低点所用的时间内为t;在测量单摆的摆长时,先用毫米刻度尺测得悬挂后的摆线长(从悬点到摆球的最上端)为L,再用游标卡尺测得摆球的直径为d.
(1)该单摆在摆动过程中的周期为
2t
n-1
2t
n-1

(2)用上述物理量的符号写出求重力加速度的一般表达式g=
(n-1)2π2(2l+d)
2t2
(n-1)2π2(2l+d)
2t2

(3)实验结束后,某同学发现他测得的重力加速度的值总是偏大,其原因可能是下述原因中的
BD
BD

A.单摆的悬点未固定紧,振动中出现松动,使摆线增长了
B.把n次摆动的时间误记为(n+1)次摆动的时间
C.以摆线长作为摆长来计算
D.以摆线长与摆球的直径之和作为摆长来计算
(4)为了提高实验精度,在实验中可改变几次摆长L并测出相应的周期T,从而得出一组对应的L与T的数据,再以L为横坐标、T2为纵坐标将所得数据连成直线,并求得该直线的斜率k.则重力加速度g=
4π2
k
4π2
k
.(用k表示)若根据所得数据连成的直线的延长线没过坐标原点,而是与纵轴的正半轴相交于一点,则实验过程中可能存在的失误是
摆长漏加小球半径
摆长漏加小球半径
,因此失误,由图象求得的重力加速度的g
无影响
无影响
偏大,偏小,无影响)
某实验小组在进行“用单摆测定重力加速度”的实验中,已知单摆在摆动过程中的摆角小于5°;在测量单摆的周期时,从单摆运动到最低点开始计时且记数为1,到第n次经过最低点所用的时间内为t;在测量单摆的摆长时,先用毫米刻度尺测得悬挂后的摆线长(从悬点到摆球的最上端)为L,再用游标卡尺测得摆球的直径为d.
(1)该单摆在摆动过程中的周期为
2t
n-1
2t
n-1

(2)用上述物理量的符号写出求重力加速度的一般表达式g=
(n-1)2π2(2l+d) 
2t2
(n-1)2π2(2l+d) 
2t2

(3)实验结束后,某同学发现他测得的重力加速度的值总是偏大,其原因可能是下述原因中的
BD
BD

A.单摆的悬点未固定紧,振动中出现松动,使摆线增长了
B.把n次摆动的时间误记为(n+1)次摆动的时间
C.以摆线长作为摆长来计算
D.以摆线长与摆球的直径之和作为摆长来计算
(4)某同学在做“用单摆测定重力加速度”的实验中,用秒表测单摆完成40次全振动的时间如图所示,则单摆的周期为
2.005
2.005
s.
(5)为了提高实验精度,在实验中可改变几次摆长L并测出相应的周期T,从而得出一组对应的L与T的数据,再以L为横坐标、T2为纵坐标将所得数据连成直线,并求得该直线的斜率k.则重力加速度g=
4π2
k
4π2
k
.(用k表示)若根据所得数据连成的直线的延长线没过坐标原点,而是与纵轴的正半轴相交于一点,则实验过程中可能存在的失误是
摆长漏加小球半径
摆长漏加小球半径
,因此失误,由图象求得的重力加速度的g
无影响
无影响
偏大,偏小,无影响)
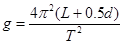
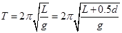
某实验小组在进行“用单摆测定重力加速度”的实验中,已知单摆摆动过程中的摆角小于5°;在测量单摆的周期时,从单摆运动到最低点开始计时且记数为1,到第n次经过最低点所用的时间内为t;在测量单摆的摆长时,先用毫米刻度尺测得悬挂后的摆线长(从悬点到摆球的最上端)为L,再用游标卡尺测得摆球的直径为d.
(1)用上述物理量的符号写出求重力加速度的一般表达式g=
π2(n-1)2(L+
d
2
)
t2
π2(n-1)2(L+
d
2
)
t2

(2)实验结束后,某同学发现他测得的重力加速度的值总是偏大,其原因可能是下述原因中的
BD
BD

A.单摆的悬点未固定紧,振动中出现松动,使摆线增长了
B.把n次摆动的时间误记为(n+1)次摆动的时间
C.以摆线长作为摆长来计算
D.以摆线长与摆球的直径之和作为摆长来计算
(3)某同学在做“用单摆测定重力加速度”的实验中,用秒表测单摆完成40次全振动的时间如图所示,则单摆的周期为
1.995
1.995
s.
(4)为了提高实验精度,在实验中可改变几次摆长L并测出相应的周期T,从而得出一组对应的L与T的数据,再以L为横坐标、T2为纵坐标将所得数据连成直线,并求得该直线的斜率k.则重力加速度g=
4π2
k
4π2
k
.(用k表示)若根据所得数据连成的直线的延长线没过坐标原点,而是与纵轴的正半轴相交于一点,则实验过程中可能存在的失误是
摆长漏加小球半径
摆长漏加小球半径
,因此失误,由图象求得的重力加速度的g
无影响
无影响
(偏大,偏小,无影响)

违法和不良信息举报电话:027-86699610 举报邮箱:58377363@163.com

精英家教网