题目内容
已知抛物线
(a<0)
(1)若对称轴为直线
①求a的值;
②在①的条件下,若y的值为正整数,求x的值;
(2)当a=a1时,抛物线与x轴的正半轴相交于点M(m,0);当a=a2时,抛物线与轴的正半轴相交于点N(n,0),若点M在点N的左边,试比较a1与a2的大小。
(1)若对称轴为直线
①求a的值;
②在①的条件下,若y的值为正整数,求x的值;
(2)当a=a1时,抛物线与x轴的正半轴相交于点M(m,0);当a=a2时,抛物线与轴的正半轴相交于点N(n,0),若点M在点N的左边,试比较a1与a2的大小。
(1)①由题意知: 对称轴为直线
,b=1
∴
∴a=-1
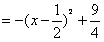
②


∵y的值为正整数
∴
∴
或

解得
∴x3=0 x4=1
(2)∵当a=a1时,抛物线与x轴的正半轴相交于点M(m,0)


∴
②
∵y的值为正整数
∴
∴
解得
(2)∵当a=a1时,抛物线与x轴的正半轴相交于点M(m,0)
练习册系列答案
相关题目