![]()
[
]|
A .90 |
B . |
|
C . |
D .3 |
![]()
[
]|
A .90 |
B . |
|
C . |
D .3 |
解方程
![]()
[
]|
A .x= |
B .x= |
|
C .x= |
D .x= |
![]()
[
]|
A . |
B . |
|
C . |
D .15 |
![]()
[
]|
A . |
B . |
|
C . |
D .15 |
![]()
[
]|
A .90 |
B . |
|
C . |
D .3 |
![]()
[
]|
A .90 |
B . |
|
C . |
D .3 |
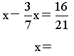
解方程
![]()
[
]|
A .x= |
B .x= |
|
C .x= |
D .x= |
![]()
[
]|
A . |
B . |
|
C . |
D .15 |
![]()
[
]|
A . |
B . |
|
C . |
D .15 |