题目内容
| 脱式计算。 | ||||
|
| (1)200-540÷36 =200-15 =185 |
(2)(7.6-3.6÷2)×1.5 =(7.6-1.8)×1.5 =5.8×1.5 =8.7 |
| (3)43×99+43 =43×(99+1) =43×100 =4300 |
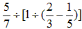
(4) = = = |
练习册系列答案
相关题目
题目内容
| 脱式计算。 | ||||
|
| (1)200-540÷36 =200-15 =185 |
(2)(7.6-3.6÷2)×1.5 =(7.6-1.8)×1.5 =5.8×1.5 =8.7 |
| (3)43×99+43 =43×(99+1) =43×100 =4300 |
(4) = = = |