题目内容
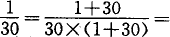
在等式
中,填入两个不同的自然数,使等式成立.
答案:
解析:
解析:
|
30的约数有1,30;2,15;3,10;5,6.不成比例的组合有1,2;1,3;1,5;1,6;1,10;1,15;1,30;2,3;2,5;3,5;3,10;5,6;2,15.
|
练习册系列答案
相关题目