搜索
题目内容
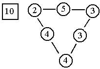
在○里填上合适的数,使每行三个数相加的结果等于□里的数.
(
从上到下,从左到右填写
)
试题答案
相关练习册答案
答案:2,3,4
解析:
练习册系列答案
培优全真模拟试卷系列答案
五读俱全系列答案
亮点激活精编提优100分大试卷系列答案
同步辅导与能力训练阶段综合测试卷系列答案
小学自评测试 系列答案
湘教考苑中考总复习系列答案
湘岳中考系列答案
小单元复习手册系列答案
小考必备考前冲刺46天系列答案
钟书金牌寒假作业延边人民出版社系列答案
相关题目
在方框里填上合适的数.
在横线里填上合适的数,在○里填上适当的运算符号.
12÷
1
4
=12
○
4
4
12÷
3
4
=12○
4
3
4
3
25÷
5
8
=25
○
8
5
8
5
5
7
÷
5
21
=
5
7
○
21
5
21
5
4
8
÷
15
16
=
4
8
○
16
15
16
15
15
16
÷
5
8
=
15
16
○
8
5
8
5
.
在括号里填上合适的数.
( )
36
=10÷18=
5
( )
4
5
=
÷20=
20
( )
.
在横线里填上合适的数,使每个方程的解为x=6.
+x=8.4
-x=8.4
x+
=7.2
-x=7.2
x+
=8.25
x-
=4.5.
在括号里填上合适的数.
4×
=32
÷6=4
×7=42
45÷
=9.
关 闭
试题分类
高中
数学
英语
物理
化学
生物
地理
初中
数学
英语
物理
化学
生物
地理
小学
数学
英语
其他
阅读理解答案
已回答习题
未回答习题
题目汇总
试卷汇总
练习册解析答案