网址:http://m.1010jiajiao.com/timu_id_3704694[举报]
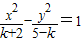
若方程表示双曲线,则k的取值范围是( )
A. B.
C. D.或
若方程表示双曲线,则k的取值范围是________