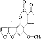
摘要:11.近来.媒体报道不法商贩销售“致癌大米 .已验证这种大米中含有黄曲霉毒素. 其分子结构式为如右图所示.人体的特殊基因在黄曲霉素的作用下会发生突变.有转变为肝癌的可能.一般条件下跟1mol AFTB起反应的H2或NaOH的最大量分别是( ) A.6mol,1mol B.5mol,1mol C.6mol,2mol D.5mol,2mol
网址:http://m.1010jiajiao.com/timu_id_1723441[举报]
查看习题详情和答案>>
最近,媒体报道不法商贩销售“致癌大米”,已验证这种大米中含有黄曲霉毒素(AFTB),其分子结构式为如图所示,人体的特殊基因在黄曲霉素的作用下会发生突变,有转变为肝癌的可能。一般条件下跟1mol AFTB起反应的
或NaOH的最大量分别是( )![]()
A.6mol;1mol
B.5mol;1mol
C.6mol;2mol
D.5mol;2mol