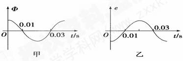
某实验小组在利用单摆测定当地重力加速度的实验中:
(1)用游标卡尺测定摆球的直径,测量结果如下图所示,则该摆球的直径为________cm.
(2)甲同学分别选用四种材料不同、直径相同的实心球做实验,记录的实验测量数据如下,若要比较准确的计算当地的重力加速度值,应选用第 组实验数据。
|
组别 |
摆球材料 |
摆长 |
最大摆角 |
全振动次数 |
|
1 |
铜 |
0.40 |
15° |
20 |
|
2 |
铁 |
1.00 |
5° |
50 |
|
3 |
铝 |
0.40 |
15° |
10 |
|
4 |
木 |
1.00 |
5° |
50 |
(3)乙同学选择了合理的实验装置后,测量出几组不同摆长
和周期
的数值,画出如图
图象中的实线OM,并算出图线的斜率为
,则当地的重力加速度
________。
![]()
(4)丙同学也进行了与乙同学同样的实验,但实验后他才发现自己测量摆长时忘了加上摆球的半径,则该同学当时做出的
图象应该是
A.虚线①,不平行OM B.虚线②,平行OM
C.虚线③,平行OM D.虚线④,不平行OM
(5)下列措施中可以提高实验精度的是________.
A.选细线做为摆线;
B.单摆摆动时保持摆线在同一竖直平面内;
C.拴好摆球后,令其自然下垂时测量摆长;
D.计时起止时刻,选在最大摆角处。