搜索
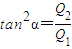
如图所示,电荷量为Q
1
、Q
2
的两个正点电荷分别置于A点和B点,两点相距L.在以L为直径的光滑绝缘半圆环上,穿着一个带电小球+q(视为点电荷),在P点平衡.不计小球的重力,那么,PA与AB的夹角α与Q
1
、Q
2
的关系应满足( )
A.
B.
C.
D.
如图所示,一块橡皮用细线悬挂于O点,用铅笔靠着线的左侧水平向右匀速移动,运动中始终保持悬线竖直,则橡皮运动的速度( )
A.大小和方向均不变
B.大小不变,方向改变
C.大小改变,方向不变
D.大小和方向均改变
要使氘核聚变,必须使氘核之间的距离接近到r
,也就是接近到核力能够发生作用的范围.物质温度很高时,氘原子将变为等离子体,等离子体的分子平均动能为
,k
1
叫玻耳兹曼常数,T为热力学温度.两个氘核之间的电势能
,式中k为静电力常量,r为电荷之间的距离,则氘核聚变的温度至少为( )
A.
B.
C.
D.
下面是用单摆测定重力加速度实验中获得的有关数据:
摆长l(m)
0.5
0.6
0.8
1.1
周期T
2
(s
2
)
2.2
2.5
3.2
4.5
①利用上述数据在如图所示的坐标图中描出l---T
2
图线;
②利用图线(取T
2
=0.1×4π
2
=3.95s
2
)求出的重力加速度值为:______.
某同学在将量程为500μA的电流表改装成电压表的过程中,他为了能尽量精确地测量该电流表的内阻,设计了如图所示的实验电路.
图中各个电表和元件的参数如下:
A.电流表A
1
,量程1.0mA,内阻约100Ω;
B.待测电流表A
2
,量程500μA,内阻约200Ω;
C.电源E,电动势3.0V,内阻不计;
D.滑动变阻器,0~25Ω
E.电阻箱R
1
,电阻值为0~999.9Ω;
F.保护电阻R
2
,电阻值约100Ω;
G.开关S
1
,单刀双掷开关S
2
.
①试按照实验电路图将如图所示的器材连接成实验电路.
②实验中该同学先合上开关S
1
,再将开关S
2
接a点,调节滑动变阻器R,当电流表A
2
示数合理时,记下电流表A
1
的示数I,然后将开关S
2
接b点,保持______不变,调节______,使电流表A
1
的示数也等于I时,读取电阻箱的示数.
③电阻箱的示数如图所示,由此可知电流表A
2
的内阻为______Ω.
④该同学要将电流表A
2
改装成量程为2.0V的电压表V
1
,他必须选一个阻值为______Ω的电阻与电流表串联.
⑤若要用标准的电压表V
对改装的电压表V进行校准,试在虚线框中画出校准的实验电路图.
如图所示为两根间距不等的光滑金属导轨MN、PQ,它们水平放置在竖直向下的匀强磁场中.导轨的一端接入电阻R
1
=10Ω和电流表,另一端接入电阻R
2
=5Ω.质量为m=0.1kg的金属棒横放在导轨上.当它以初速度υ
=4m/s从ab处滑到a′b′处,同时t=0.08s.导轨间距L
ab
=0.4m,L
a'b
'=0.8m.若金属滑动时电流表读数始终不变.不计电流表棒与导轨的电阻和摩擦.试求:
(1)电流表的读数;
(2)磁感应强度.
如图所示,离地面足够高处有一竖直的空管,质量为2kg,管长为24m,M、N为空管的上、下两端,空管受到F=16N竖直向上的拉力作用,由静止开始竖直向下做加速运动,同时在M处一个大小不计的小球沿管的轴线以初速度v
竖直上抛,不计一切阻力,取g=10m/s
2
.求:
(1)若小球上抛的初速度为10m/s,经过多长时间从管的N端穿出?
(2)若此空管的N端距离地面64m高,欲使在空管到达地面时小球必须落到管内,在其他条件不变的前提下,求小球的初速度v
大小的范围.
图1是示波管的原理图,它由电子枪、荧光屏和两对相互垂直的偏转电极XX′、YY′组成.偏转电极的极板都是边长为l的正方形金属板,每对电极的两个极板间距都为d.电极YY′的右端与荧光屏之间的距离为L.这些部件处在同一个真空管中.电子枪中的金属丝加热后可以逸出电子,电子经加速电极间电场加速后进入偏转电极间,两对偏转电极分别使电子在两个相互垂直的方向发生偏转.荧光屏上有xoy直角坐标系,x轴与电极XX′的金属板垂直(其正方向由X′指向X),y轴与电极YY′的金属板垂直(其正方向由Y′指向Y).已知电子的电量为e,质量为m.可忽略电子刚离开金属丝时的速度,并不计电子之间相互作用力及电子所受重力的影响.
(1)若加速电极的电压为U
,两个偏转电极都不加电压时,电子束将沿直线运动,且电子运动的轨迹平行每块金属板,并最终打在xoy坐标系的坐标原点.求电子到达坐标原点前瞬间速度的大小;
(2)若再在偏转电极YY′之间加恒定电压U
1
,而偏转电极XX′之间不加电压,求电子打在荧光屏上的位置与坐标原点之间的距离;
(3)(i)若偏转电极XX′之间的电压变化规律如图2所示,YY′之间的电压变化规律如图3所示.由于电子的速度较大,它们都能从偏转极板右端穿出极板,且此过程中可认为偏转极板间的电压不变.请在图4中定性画出在荧光屏上看到的图形;
(ii)要增大屏幕上图形在y方向的峰值,若只改变加速电极的电压U
、YY′之间电压的峰值U
y
、电极XX?之间电压的峰值U
x
三个量中的一个,请说出如何改变这个物理量才能达到目的.
下列说法中正确的是( )
A.气体的温度升高时,分子的热运动变得剧烈,分子的平均动能增大,撞击器壁时对器壁的作用力增大,从而气体的压强一定增大
B.气体体积变小时,单位体积的分子数增多,单位时间内打到器壁单位面积上的分子数增多,从而气体的压强一定增大
C.压缩一定量的气体,气体的内能一定增加
D.分子a从远外趋近固定不动的分子b,当a到达受b的作用力为零处时,a的动能一定最大
如图所示,以8m/s匀速行驶的汽车即将通过路口,绿灯还有2s将熄灭,此时汽车距离停车线18m.该车加速时最大时速度大小为2m/s
2
,减速时最大加速度大小为5m/s
2
.此路段允许行驶的最大速度为12.5m/s,下列说法中正确的有( )
A.如果立即做匀加速运动,在绿灯熄灭前汽车可能通过停车线
B.如果立即做匀加速运动,在绿灯熄灭前通过停车线汽车一定超速
C.如果立即做匀减速运动,在绿灯熄灭前汽车一定不能通过停车线
D.如果距停车线5m处减速,汽车能停在停车线处
0
70144
70152
70158
70162
70168
70170
70174
70180
70182
70188
70194
70198
70200
70204
70210
70212
70218
70222
70224
70228
70230
70234
70236
70238
70239
70240
70242
70243
70244
70246
70248
70252
70254
70258
70260
70264
70270
70272
70278
70282
70284
70288
70294
70300
70302
70308
70312
70314
70320
70324
70330
70338
176998
关 闭
试题分类
高中
数学
英语
物理
化学
生物
地理
初中
数学
英语
物理
化学
生物
地理
小学
数学
英语
其他
阅读理解答案
已回答习题
未回答习题
题目汇总
试卷汇总
练习册解析答案