题目内容
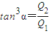
如图所示,电荷量为Q1、Q2的两个正点电荷分别置于A点和B点,两点相距L.在以L为直径的光滑绝缘半圆环上,穿着一个带电小球+q(视为点电荷),在P点平衡.不计小球的重力,那么,PA与AB的夹角α与Q1、Q2的关系应满足( )A.
B.
C.
D.
【答案】分析:对带电小球进行受力分析,由于不考虑重力,因此根据平衡条件可知,小球受力在切线方向上的合力为零,据此结合数学关系列方程即可正确求解.
解答:解:对小球进行受力分析如图所示:

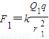
根据库仑定律有:
,r1=Lcosα ①
,r2=Lsinα ②
根据平衡条件有:
F1sinα=F2cosα ③
联立①②③解得:
,故BCD错误,A正确.
故选A.
点评:本题在电场中考查了物体的平衡,注意根据平衡条件列方程,注意数学知识的应用.
解答:解:对小球进行受力分析如图所示:
根据库仑定律有:
根据平衡条件有:
F1sinα=F2cosα ③
联立①②③解得:
故选A.
点评:本题在电场中考查了物体的平衡,注意根据平衡条件列方程,注意数学知识的应用.
练习册系列答案
相关题目