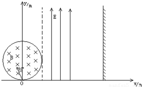
0  63280  63288  63294  63298  63304  63306  63310  63316  63318  63324  63330  63334  63336  63340  63346  63348  63354  63358  63360  63364  63366  63370  63372  63374  63375  63376  63378  63379  63380  63382  63384  63388  63390  63394  63396  63400  63406  63408  63414  63418  63420  63424  63430  63436  63438  63444  63448  63450  63456  63460  63466  63474  176998 

违法和不良信息举报电话:027-86699610 举报邮箱:58377363@163.com

精英家教网