(10分)某同学在做“测定木板与木块间动摩擦因数”的实验时,设计了两种实验方案:
![]()
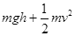
方案A:木板固定,用弹簧测力计拉动木块,如图(a)所示.
方案B:用弹簧测力计钩住木块,用力拉动木板,如图(b)所示.
除了实验必须的弹簧测力计、木块、木板、细线外,该同学还准备了若干重量均为2.00N的砝码.
(1)上述两种方案中,你认为更合理的方案是 。
理由是 。
(2)该同学在木块上加放砝码,改变木块对木板的压力,记录了5组实验数据,如下表所示:
|
实验次数 |
1 |
2 |
3 |
4 |
5 |
|
砝码/个数 |
0 |
1 |
2 |
3 |
4 |
|
砝码对木块压力/N |
0 |
2.00 |
4.00 |
6.00 |
8.00 |
|
测力计读数/N |
1.50 |
2.00 |
2.50 |
2.90 |
3.50 |
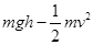
请根据上述数据在坐标纸上作出摩擦力f和砝码对木块的压力F的关系图象(以F为横坐标).并分析图象不过原点的原因是 。
![]()
(3)求木块间的滑动摩擦因数为 。