题目内容

(10分)如图所示,一轻质弹簧的长度l与弹力F大小的关系图象,试由图线确定:

(1)弹簧的原长;

(2)弹簧的劲度系数;

 

【答案】

(1)10 cm;(2)200 N/m。

【解析】

试题分析:(1)我们知道,当弹簧的弹力为零时,弹簧处于原长状态,由图可知原长l0=10 cm;

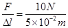
(2)当弹簧长度为15 cm时,弹力大小为10 N,对应弹簧的伸长量为

Δl=(15-10) cm=5×102 m,

由胡克定律F=kx得:k==200 N/m。

考点:胡克定律。

 

练习册系列答案
相关题目

违法和不良信息举报电话:027-86699610 举报邮箱:58377363@163.com

精英家教网