图甲是用来探究加速度和力之间关系的实验装置示意图,图乙是其俯视图。两个质量相等的小车,放在光滑水平桌面上,前端各系一条细绳,绳的另一端跨过定滑轮各挂一个小盘,盘里可放砝码。两个小车通过细线用夹子固定,打开夹子,小盘和砝码牵引小车运动,合上夹了,两小车同时停止。![]()
(1)实验中可以通过在小盘中增减砝码来改变小车所受的拉力。为了探究加速度大小和力大小之间的关系,下列做法中正确的是 ( )
| A.使小盘和砝码的总质量尽可能与小车质量相等 |
| B.用刻度尺测量两小车通过的位移,通过比较位移司知加速及大小与力大小之间的关系 |
| C.在两小盘内及两小车内分别放置相同质量的砝码进行实验 |
| D.在两小盘内放置不同质量的砝码,在两小车内放置相同质量的砝码进行实验 |
在“探究加速度与物体质量、物体受力的关系”的实验中,以下做法正确的是( )
| A.平衡摩擦力时,应将小盘用细绳通过定滑轮系在小车上 |
| B.每次改变小车的质量时,不需要重新平衡摩擦力 |
| C.实验时,先放开小车,再接通打点计时器的电源 |
| D.求小车运动的加速度时,可用天平测出小盘和砝码的质量(M′和m′)以及小车质 |
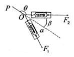
如图所示,在“共点力合成”的实验中,橡皮条一端固定于P点,另一端连接两个弹簧测力计,分别用F1和F2拉两个弹簧测力计,将这端的结点拉至O点。现让F1大小不变,方向沿顺时针方向转动某一角度,且F1始终处于PO左侧,要使这端的结点仍位于O点,则关于F2的大小和图中的θ角,下列说法中错误的是( )![]()
| A.增大F2的同时增大θ角 |
| B.增大F2的同时减小θ角 |
| C.增大F2而保持θ角不变 |
| D.减小F2的同时增大θ角 |
在做“验证力的平行四边行定则”实验中,假如F1的大小及方向固定不变,那么为了使橡皮条仍然伸长到O点,对F2来说,下面几种说法中正确的是
| A.F2可以有多个方向 | B.F2的方向和大小可以有多个值 |
| C.F2的方向和大小是惟一确定值 | D.F2的方向是惟一的,但大小可有多个值 |
一个实验小组在“探究弹力和弹簧伸长的关系”的实验中,使用两条不同的轻质弹簧a和b,得到弹力与弹簧总长度的图象如图所示。下列表述正确的是( )![]()
| A.a的原长比b的长 | B.a的劲度系数比b的大 |
| C.a的劲度系数比b的小 | D.测得的弹力与弹簧的长度成正比 |
如图所示,弹簧秤和细线的重力及一切摩擦不计,物重G=1N,则弹簧秤A和B的示数分别为![]()
| A.1N,0. | B.0,1N. | C.2N,1N. | D.1N,1N. |
意大利的物理学家伽利略提出“著名的斜面实验”,逐渐增大斜面倾角并由此推理得出的结论是( )
| A.自由落体运动是一种匀变速直线运动. | B.无论物体是否运动,都具有惯性. |
| C.力不是维持物体运动的原因. | D.力是使物体产生加速度的原因. |
如图所示,t=0时,质量为1kg的物体从光滑斜面上的A点由静止开始下滑,经过B点前后速度大小不变。物体滑入水平面BC,最后停在C点。现将不同时刻的瞬时速度记录在下表中,g取10m/s2,由此可知
![]()
| A.物体运动过程中的最大速度为12m/s |
| B.物体在水平面上的运动时间为12s |
| C.AB间的距离小于BC间距离 |
| D.AB间的距离可能大于BC间距离 |