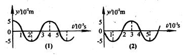
一个质点做简谐运动的图象如图所示,下述正确的是( )![]()
| A.质点振动频率为4 Hz |
| B.在10 s内质点经过的路程是20 cm |
| C.在5 s末,速度为零,加速度最大 |
| D.t=1.5s和t=4.5s两时刻质点的位移大小相等,都是 |
一质点做简谐运动,如图所示,在0.2s到0.3s这段时间内质点的运动情况是( )![]()
| A.沿负方向运动,且速度不断增大 |
| B.沿负方向运动,且位移不断增大 |
| C.沿正方向运动,且速度不断增大 |
| D.沿正方向运动,且加速度不断增大 |
图1是一列简谐横波在t=1.25s时的波形图,已知c位置的质点比a位置的晚0.5s起振,则图2所示振动图像对应的质点可能位于![]()
| A.a<x<b | B.b <x <c | C.c<x<d | D.d<x <e |
如图,在原点处做简谐运动的波源产生的机械波沿x轴正方向传播,波速v=400 m/s.为了接收信号,在x=400 m处设有一接收器A(图中未标出).已知t=0时,波已经传播到x=40 m处,则下列说法中不正确的是![]()
| A.波源振动的周期为0.05 s |
| B.x=40 m处的质点在t=0.5 s时位移最大 |
| C.接收器在t=1.0 s时才能接收到此波 |
| D.若波源向x轴负方向移动,则接收器接收到的波的频率将小于20 Hz |
如图为甲、乙两单摆的振动图象,则![]()
| A.若甲、乙两单摆在同一地点摆动,则甲、乙两单摆的摆长之比l甲∶l乙=2∶1 |
| B.若甲、乙两单摆在同一地点摆动,则甲、乙两单摆的摆长之比l甲∶l乙=4∶1 |
| C.若甲、乙两摆摆长相同,且在不同的星球上摆动,则甲、乙两摆所在星球的重力加速度之比g甲∶g乙=4∶1 |
| D.若甲、乙两摆摆长相同,且在不同的星球上摆动,则甲、乙两摆所在星球的重力加速度之比g甲∶g乙=1∶4 |