题目内容
“嫦娥一号”探月卫星与稍早前日本的“月亮女神号”探月卫星不同,“嫦娥一号”卫星是绕月极地轨道上运动的,加上月球的(1)若忽略地球及太阳引力对绕月卫星的影响,试求月球与地球质量之比;
(2)当绕月极地轨道的平面与月球绕地公转的轨道平面垂直,也与地心到月心的连线垂直(如图所示).此时探月卫星向地球发送所拍摄的照片,此照片由探月卫星传送到地球最少需要多长时间?已知光速为c.
【答案】分析:(1)卫星绕月做圆周运动时,由月球的万有引力提供向心力,知道距月球表面高为H,月球半径为RM,绕行的周期为TM,根据由牛顿第二定律可求出月球的质量.月球绕地球公转时,由地球的万有引力提供向心力,由月球公转的周期为TE,半径为R.地球半径为RE,根据由牛顿第二定律可求出地球的质量.
(2)根据几何知识求出卫星到地面最短距离,再求出时间.
解答:解:(1)由牛顿第二定律得
月球绕地公转由万有引力提供向心力得,
同理,探月卫星绕月运动时有:
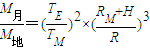
由上两式联立解得:
;
(2)设探月极地轨道上卫星到地心的距离为L,则卫星到地面最短距离为L-RE,由几何知识得:
L2=R2+(RM+H)2
将照片发回地面的时间
t=
答:(1)月球与地球质量之比:
;
(2)探月卫星传送到地球最少需要
时间.
点评:本题是计算天体质量问题,利用万有引力与圆周运动知识的结合求解环绕天体的质量,是常用方法之一.
(2)根据几何知识求出卫星到地面最短距离,再求出时间.
解答:解:(1)由牛顿第二定律得
月球绕地公转由万有引力提供向心力得,
同理,探月卫星绕月运动时有:
由上两式联立解得:
(2)设探月极地轨道上卫星到地心的距离为L,则卫星到地面最短距离为L-RE,由几何知识得:
L2=R2+(RM+H)2
将照片发回地面的时间
t=
答:(1)月球与地球质量之比:
(2)探月卫星传送到地球最少需要
点评:本题是计算天体质量问题,利用万有引力与圆周运动知识的结合求解环绕天体的质量,是常用方法之一.
练习册系列答案
相关题目