题目内容
物体通过两个连续相等位移的平均速度分别为A.13.75m/s
B.12.5m/s
C.12m/s
D.11.75m/s
【答案】分析:平均速度等于位移与所用时间的比值.用
和
表示出运动的时间,再求解物体在这整个运动过程中的平均速度.
解答:解:设整体过程的总位移为2x,则
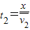
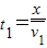
物体通过第一段位移所用时间为
,
物体通过第二段位移所用时间为
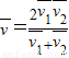
则物体在这整个运动过程中的平均速度为

代入整理得到
=
=12m/s
故选C
点评:本题要掌握平均速度的定义式,关键是用平均速度表示物体运动的时间.
解答:解:设整体过程的总位移为2x,则
物体通过第一段位移所用时间为
物体通过第二段位移所用时间为
则物体在这整个运动过程中的平均速度为
代入整理得到
故选C
点评:本题要掌握平均速度的定义式,关键是用平均速度表示物体运动的时间.
练习册系列答案
相关题目
物体通过两个连续相等的时间段里的平均速度分别为v1=10m/s,v2=15m/s,则物体在这整个过程中的平均速度是( )
| A、13.75m/s | B、12.5m/s | C、12m/s | D、11.75m/s |