题目内容

如图,质量为m的小球从光滑曲面上滑下,当它到达高度为的位置A时,速度的大小为,当它继续滑下到高度为的位置B时,速度大小为

(1)根据动能定理列出方程,描述小球在A、B两点间动能的关系.

(2)根据重力做功与重力势能的关系,把以上方程变形,以反映出小球运动过程中机械能是守恒的.

答案:略
解析:

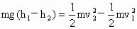
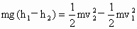
解:(1)小球在从A点下落至B点的过程中,根据动能定理

(2)

等式左边表示物体在A点时的机械能,等式右边表示物体在B点时的机

械能,小球从A点运动到B点的过程中,机械能守恒.


练习册系列答案
相关题目

违法和不良信息举报电话:027-86699610 举报邮箱:58377363@163.com

精英家教网