题目内容

由静止开始做匀加速直线运动的汽车,第1 s内通过0.4 m位移,求:

(1)汽车在第1 s末的速度为多大?

(2)汽车在第2 s内通过的位移为多大?

答案:
解析:

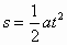
  解:小车做初速度为零的匀加速直线运动

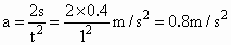
  (1)由,得:(2分)

  则汽车在第1 s末的速度为v1=at=0.8×1 m/s=0.8 m/s(2分)

  (2)由s1s21∶3,得:

  汽车在第2 s内通过的位移为s23s13×0.4 m1.2 m(3分)


练习册系列答案
相关题目

违法和不良信息举报电话:027-86699610 举报邮箱:58377363@163.com

精英家教网