题目内容
如图,从倾角为θ的斜面上,以速度v水平抛出质量为m的小球,斜面足够长,空气阻力不计.从小球开始抛出到离开斜面最远的过程中,下列说法正确的是( )A.运动时间是v/g
B.重力做功是
C.重力做功的功率是
D.动能增加了
【答案】分析:当小球的速度方向与斜面平行时,距离斜面最远,根据速度的方向求出运动的时间,从而求出下降的高度,求出重力做的功,根据动能定理求出动能的增加量.
解答:解:A、当小球的速度方向与斜面平行时,距离斜面最远,此时竖直方向上的分速度vy=vtanθ,则运动的时间
.故A错误.
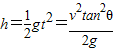
B、在这段时间内,物体竖直方向上的位移
,则重力做功
.故B正确.
C、从小球开始抛出到离开斜面最远的过程中,重力做功的功率P=
.故C错误.
D、根据动能定理,重力做功等于动能的变化,所以动能增加为
.故D错误.
故选B.
点评:解决本题的关键知道平抛运动在水平方向和竖直方向上的运动规律,知道当小球的速度方向与斜面平行时,距离斜面最远.
解答:解:A、当小球的速度方向与斜面平行时,距离斜面最远,此时竖直方向上的分速度vy=vtanθ,则运动的时间
B、在这段时间内,物体竖直方向上的位移
C、从小球开始抛出到离开斜面最远的过程中,重力做功的功率P=
D、根据动能定理,重力做功等于动能的变化,所以动能增加为
故选B.
点评:解决本题的关键知道平抛运动在水平方向和竖直方向上的运动规律,知道当小球的速度方向与斜面平行时,距离斜面最远.
练习册系列答案
相关题目