题目内容

“10米折返跑”的成绩反应了人体的灵敏素质.测定时,在平直跑道上,受试者以站立式起跑姿势站在起点终点线前,当听到“跑”的口令后,全力跑向正前方10米处的折返线,测试员同时开始计时.受试者到达折返线处时,用手触摸折返线处的物体(如木箱),再转身跑向起点终点线,当胸部到达起点终点线的垂直面时,测试员停表,所用时间即为“10米折返跑”的成绩.设受试者起跑的加速度为4m/s2,运动过程中的最大速度为4m/s,快到达折返线处时需减速到零,加速度的大小为8m/s2,返回时达到最大速度后不需减速,保持最大速度冲线.受试者在加速和减速阶段运动均可视为匀变速直线运动.问该受试者“10米折返跑”的成绩为多少秒?
【答案】分析:运动员向右的运动分加速向右、匀速向右和减速向右过程;向左的运动分为加速和匀速过程,根据运动学公式计算出各段的时间即可.
解答:解:对受试者,由起点终点线向折返线运动的过程中
加速阶段:s,
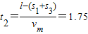
减速阶段:s,
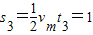
匀速阶段:
由折返线向起点终点线运动的过程中
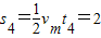
加速阶段:s,
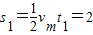
匀速阶段:
故受试者10米折返跑的成绩为:t=t1+t2+…+t5=6.25s.
点评:本题关键要分阶段计算出运动员各个阶段的运动时间,要能熟练运用运动学公式.
练习册系列答案
相关题目

违法和不良信息举报电话:027-86699610 举报邮箱:58377363@163.com

精英家教网