题目内容

如图所示,劲度系数为的轻质弹簧两端分别与质量为的物块1、2拴接,劲度系数为的轻质弹簧上端与物块2拴接,下端压在桌面上不拴接,整个系统处于竖直平衡状态.现施力将物块1缓慢地竖直上提,直到下面那个弹簧的下端刚脱离桌面,在此过程中,物块2的重力势能增加了________,物块1的重力势能增加了________.

答案:略
解析:

在对物体1没有施力以前,弹簧的压缩量为

弹簧的压缩量为

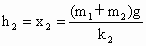
下面的弹簧的下端刚要离开桌面时,弹簧处于自然状态,而弹簧处于伸长状态,其伸长量为

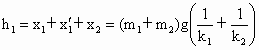
在整个过程中物块1上升的高度为

物体2上升的高度为

所以,物体1重力势能增加了

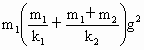
物块2重力势能增加了

  欲求物块12的重力势能增加多少,只要求出它们上升的高度即可.根据题设条件,开始时整个系统处于平衡状态,弹簧均被压缩.现施力将物块1缓慢上提,直到下面的弹簧的下端刚脱离桌面,在此过程中,弹簧由压缩状态逐渐恢复到自由状态,而弹簧先由压缩状态逐渐恢复到自由状态,接着由于施加拉力又逐渐伸长.

  弄清了物理过程,就可以根据平衡条件和胡克定律求出物块上升的高度,再由重力势能公式计算出增加的重力势能.

  有些同学由于没把物理过程分析清楚,求时没考虑到弹簧的伸长,而误认为,结果把物块1重力势能的增量错答为;也有同学没有考虑到弹簧的伸长量,而误认为,结果把物块1重力势能的增量错答为

  解答这类题时,要注意把物理过程分析清楚,建立清晰的物理情景,同时注意整体法和隔离法的结合使用.


练习册系列答案
相关题目

违法和不良信息举报电话:027-86699610 举报邮箱:58377363@163.com

精英家教网