题目内容
如图所示,在“研究平抛物体运动”的实验中,用一张印有小方格的纸记录轨迹,小方格的边长l=0.90cm.若小球在平抛运动途中的几个位置如图中的a、b、c、d所示,则小球平抛的初速度的计算式为vo= (用l、g表示),其值是 m/s,小球在b点的速率是 m/s(取g=10m/s2).
【答案】分析:根据竖直方向上相邻的相等时间内的位移之差是一恒量求出相等的时间间隔,根据水平位移和时间求出平抛运动的初速度.b点竖直方向上的分速度等于ac两点竖直方向上的平均速度,根据平行四边形定则求出小球在b点的速率.
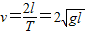
解答:解:根据△y=gT2得,T=
,则初速度
=0.60m/s.
小球在b点竖直方向上的分速度
则小球在b点的速率
.
故答案为:2
,0.60,0.75
点评:解决本题的关键掌握平抛运动在水平方向和竖直方向上的运动规律,结合运动学公式和推论进行求解.
解答:解:根据△y=gT2得,T=
小球在b点竖直方向上的分速度
则小球在b点的速率
故答案为:2
点评:解决本题的关键掌握平抛运动在水平方向和竖直方向上的运动规律,结合运动学公式和推论进行求解.
练习册系列答案
相关题目