题目内容

高空遥感探测卫星在距地球表面高为h处绕地球转动.如果地球质量为M,地球半径为R,人造卫星质量为m,万有引力常量为G试求:

(1)人造卫星的线速度多大?

(2)人造卫星绕地球转动的周期是多少?

(3)人造卫星的向心加速度多大?

答案:略
解析:

(1)(2)(3)

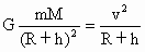
解:(1)对卫星,有

解得卫星线速度

(2)得:

运行周期

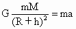
(3)由于

故向心加速度


练习册系列答案
相关题目

违法和不良信息举报电话:027-86699610 举报邮箱:58377363@163.com

精英家教网