题目内容
如图,三个质点a、b、c质量分别为m1、m2、M(M?m1,M?m2),在c的万有引力作用下,a、b在同一平面内绕c沿逆时针方向做匀速圆周运动,轨道半径之比为ra:rb=1:4,则它们的周期之比Ta:Tb= ,从图示位置开始,在b转动一周的过程中,a、b、c共线有 次.
【答案】分析:质点a、b均在c点的万有引力的作用下绕c做圆周运动,由F引=F向,可求出周期比,每多转半圈,三质点共线一次,可先求出多转半圈的时间,与总时间相比,得出三点共线次数.
解答:解:万有引力提供向心力,则有:
,
;
所以Ta:Tb=1:8;
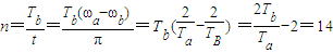
设每隔时间t,a、b共线一次,则(ωa-ωb)t=π,所以
;
故b运动一周的过程中,a、b、c共线的次数为:
.
故答案为:1:8,14.
点评:本题根据向心力来源列式,即可求出周期之比;第二问中,可以以质点b、c系统为参考系,则a质点转动7圈,共线14次.
解答:解:万有引力提供向心力,则有:
所以Ta:Tb=1:8;
设每隔时间t,a、b共线一次,则(ωa-ωb)t=π,所以
故b运动一周的过程中,a、b、c共线的次数为:
故答案为:1:8,14.
点评:本题根据向心力来源列式,即可求出周期之比;第二问中,可以以质点b、c系统为参考系,则a质点转动7圈,共线14次.
练习册系列答案
相关题目