题目内容

两颗卫星在同一平面内绕地球做匀速圆周运动,地球半径为R,a卫星离地面的高度为R,b卫星离地面的高度为3R,则

(1)a、b两卫星周期之比是多少?

(2)若某时刻两卫星正好同时通过地面上同一点的正上方,则a至少再经过多少个周期两卫星相距最远?

答案:略
解析:

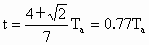
(1)(2)0.77

(1)卫星绕地球做圆周运动的向心力由地球对卫星的万有引力提供,则,所以,卫星的周期为

(2)设至少再经过时间t,两卫星相距最远,则解得,即a卫星至少再经过0.77个周期,两卫星相距最远.


练习册系列答案
相关题目

违法和不良信息举报电话:027-86699610 举报邮箱:58377363@163.com

精英家教网