题目内容
如图所示,在足够长的光滑绝缘水平直线轨道上方h高度的P点,固定电荷量为+Q的点电荷.一质量为m、电荷量为+q的物块(可视为质点),从轨道上的A点以初速度v沿轨道向右运动,当运动到P点正下方B点时速度为v.已知点电荷产生的电场在A点的电势为φ(取无穷远处电势为零),PA连线与水平轨道的夹角为60°.试求:(1)物块在A点时受到轨道的支持力大小;
(2)点电荷+Q产生的电场在B点的电势;
(3)物块能获得的最大速度.
【答案】分析:(1)对物体进行受力分析,受重力、支持力、库仑力,根据竖直方向合力等于零,求出物体在A点受到轨道的支持力.
(2)从A点到B点,只有电场力做功,根据动能定理,求出电场力做功,从而得出两点间的电势差,从而得出B点的电势.
(3)当小球运动到无穷远处时,速度最大,根据能量守恒求出小球的最大速度.
解答:解:(1)物体受到点电荷的库仑力F=
由几何关系可知
设物体在A点时受到轨道的支持力大小为N,由平衡条件有
N-mg-Fsin60°=0
解得:N=mg+
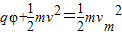
(2)设点电荷产生的电场在B点的电势为φB,由动能定理有:

解得
(3)设物块能获得的最大速度为vm,由能量守恒定律有:

解得
答:(1)物块在A点时受到轨道的支持力大小为mg+
.
(2)点电荷+Q产生的电场在B点的电势为
.
(3)物块能获得的最大速度
.
点评:解决本题的关键知道电场力做功W=qU,U等于两点间的电势差.以及掌握库仑定律和动能定理的运用.
(2)从A点到B点,只有电场力做功,根据动能定理,求出电场力做功,从而得出两点间的电势差,从而得出B点的电势.
(3)当小球运动到无穷远处时,速度最大,根据能量守恒求出小球的最大速度.
解答:解:(1)物体受到点电荷的库仑力F=
由几何关系可知
设物体在A点时受到轨道的支持力大小为N,由平衡条件有
N-mg-Fsin60°=0
解得:N=mg+
(2)设点电荷产生的电场在B点的电势为φB,由动能定理有:
解得
(3)设物块能获得的最大速度为vm,由能量守恒定律有:
解得
答:(1)物块在A点时受到轨道的支持力大小为mg+
(2)点电荷+Q产生的电场在B点的电势为
(3)物块能获得的最大速度
点评:解决本题的关键知道电场力做功W=qU,U等于两点间的电势差.以及掌握库仑定律和动能定理的运用.
练习册系列答案
相关题目