题目内容
一个做匀加速直线运动的物体,先后经过A、B两点时速度分别是v和7v,经过AB的时间是t,则下列判断中错误的是( )A.经过A、B中点的速度是4v
B.经过A、B中间时刻的速度是4v
C.前t/2时间通过的位移比后t/2时间通过的位移少1.5vt
D.通过前s/2位移所需时间是通过后s/2位移所需时间的2倍
【答案】分析:A、中点的速度可以根据公式v2-va2=2a?
,vb2-v2=2a?
,联立两方程求解.
B、匀变速运动在某段时间内的平均速度等于中间时刻的瞬时速度.
C、求出中间时刻的速度,再根据平均速度公式求出两段时间内的位移.
D、求出中间位置的速度,然后通过公式t=
分析.也可以用平均速度求解时间t=
.
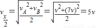
解答:解:A、中间位置的速度等于初、末速度平方和一半的二次方根,

故A错误.
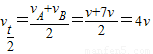
B、中间时刻的瞬时速度等于这段时间的平均速度,

故B正确.
C、前
时间通过的位移
后
时间通过的位移
所以
故C正确.
D、通过前
位移所需时间
通过后
位移所需时间
所以
故D正确.
故选A.
点评:解决本题的关键是掌握匀变速直线运动的公式以及推论,并能灵活运用.
B、匀变速运动在某段时间内的平均速度等于中间时刻的瞬时速度.
C、求出中间时刻的速度,再根据平均速度公式求出两段时间内的位移.
D、求出中间位置的速度,然后通过公式t=
解答:解:A、中间位置的速度等于初、末速度平方和一半的二次方根,
故A错误.
B、中间时刻的瞬时速度等于这段时间的平均速度,
故B正确.
C、前
后
所以
故C正确.
D、通过前
通过后
所以
故D正确.
故选A.
点评:解决本题的关键是掌握匀变速直线运动的公式以及推论,并能灵活运用.
练习册系列答案
相关题目