题目内容

如图所示,两个质量分别为m1=2kg、m2=3kg的物体A、B置于光滑的水平面上,中间用轻质弹簧连接.两个大小分别为F1=30 N、F2=20N的水平拉力分别作用在A、B上,稳定后.

A.弹簧的弹力大小为30N

B.弹簧的弹力大小为26N

C.在突然撤去F2后的瞬间,A的加速度大小为5m/s2   

D.在突然撤去F1后的瞬间,A的加速度大小为13m/s2

 

【答案】

BD

【解析】

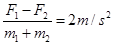
试题分析:对整体运用牛顿第二定律得,a=

隔离对m1分析,有F1-F=m1a,则F=F1-m1a=30-2×2N=26N,A错误,B正确;在突然撤去F2的瞬间,m1的加速度不变,仍然为2m/sC错误;在突然撤去F1的瞬间,m1的加速度大小a1, D正确。

考点:本题考查整体法、隔离法在牛顿第二定律中的应用。

 

练习册系列答案
相关题目

违法和不良信息举报电话:027-86699610 举报邮箱:58377363@163.com

精英家教网