题目内容
如图是回旋加速器示意图,其核心部分是两个D形金属盒,两金属盒置于匀强磁场中,并分别与高频电源相连.现分别加速氘核(q1、m1)和氦核(q2、m2).已知q2=2q1,m2=2m1,下列说法中正确的是( )A.它们的最大速度相同
B.它们的最大动能相同
C.仅增大高频电源的电压可增大粒子的最大动能
D.仅增大高频电源的频率可增大粒子的最大动能
【答案】分析:当带电粒子从D形盒中出来时,速度最大,根据D形盒的半径,结合洛伦兹力提供向心力,求出粒子的最大速度以及最大动能,看与什么因素有关,从而确定增大最大动能的方法.
解答:解:A、根据qvB=m
,解得
,因为两粒子的比荷相等,则它们的最大速度相同.故A正确.
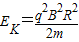
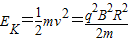
B、粒子的最大动能
,根据两粒子的质量和电量的关系,知
不等,则最大动能不同.故B错误.
C、根据
知,要增大粒子的动能,增大电压和频率,最大动能不变,需增加磁感应强度和D形盒的半径.故C、D错误.
故选A.
点评:解决本题的关键知道回旋加速器加速粒子的原理,知道回旋加速器运用电场加速,磁场偏转来加速粒子,但是最大动能与加速的电压无关.
解答:解:A、根据qvB=m
B、粒子的最大动能
C、根据
故选A.
点评:解决本题的关键知道回旋加速器加速粒子的原理,知道回旋加速器运用电场加速,磁场偏转来加速粒子,但是最大动能与加速的电压无关.
练习册系列答案
相关题目