题目内容

某同学利用双缝干涉实验仪测量光的波长,按要求将仪器安装在光具座上(如图甲所示),接通电源使光源正常工作.

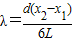
(1)某同学调整手轮后,从测量头的目镜看去,第一次映入眼帘的干涉条纹如图乙(a)所示,图中数字是该同学给各亮纹的编号,在测量头上的读数为x1;接着再转动手轮,映入眼帘的干涉条纹如图乙(b)所示,此时测量头上的读数为x2.已知双缝间距为d,光屏与双缝间的距离为L.利用以上数据,可计算出相邻亮纹间的距离△x=    ,该单色光的波长λ=    .(用d、L、x1、x2表示)
(2)该同学利用此装置进一步研究光的干涉现象,提出下列几种说法,你认为正确的是   
A.增加光屏与双缝的距离,干涉条纹间距变窄
B.将滤光片由蓝色换成红色,干涉条纹间距变宽
C.将单缝向双缝移动一小段距离,干涉条纹间距变宽
D.去掉滤光片,干涉现象消失.
【答案】分析:根据双缝干涉条纹的间距公式进行分析.
解答:解:(1)相邻亮纹间的距离△x=,根据,知
(2)A、根据双缝干涉条纹的间距公式知,增加光屏与双缝的距离,干涉条纹间距变宽.故A错误.
B、将滤光片由蓝色换成红色,波长变大,则干涉条纹间距变宽.故B正确.
C、将单缝向双缝移动一小段距离,干涉条纹间距不变.故C错误.
D、去掉滤光片,将出现彩色的干涉条纹.故D错误.
故选B.
故答案为:(1),(2)B.
点评:解决本题的关键掌握双缝干涉条纹的间距公式,并能灵活运用.
练习册系列答案
相关题目
(1)如图所示,某同学用插针法测定一半圆形玻璃砖的折射率.在平铺的白纸上垂直纸面插大头针Pl、P2确定入射光线,并让入射光线过圆心O,在玻璃砖(图中实线部分)另一侧垂直纸面插大头针P3,使P3挡住P1、P2的像,连接OP3.图中MN为分界面,虚线半圆与玻璃砖对称,B、C分别是入射光线、折射光线与圆的交点,AB、CD均垂直于法线并分别交法线于A、D点.
①设AB的长度为L1,AO的长度为L2,CD的长度为L3,DO的长度为L4,为较方便地表示出玻璃砖的折射率,需用刻度尺测量
L1和L3
L1和L3
,则玻璃砖的折射率可表示为
n=
L1
L3
n=
L1
L3

②该同学在插大头针P3前不小心将玻璃砖以O为圆心顺时针转过一小角度,由此测得玻璃砖的折射率将
偏大
偏大
 (填“偏大”、“偏小”或“不变”).
(2)(10分)在用双缝干涉测光的波长实验中,准备了下列仪器:
A.白炽灯    B.双窄缝片    C.单窄缝片     D.滤色片 E.毛玻璃光屏
①把以上仪器安装在光具座上,自光源起合理的顺序是
ADCBE
ADCBE
(填字母).
②在某次实验中,用某种单色光通过双缝在光屏上得到明暗相间的干涉条纹,其中相邻两条亮纹a、b的位置可利用测量头上的千分尺确定,如图所示.其中表示a纹位置(甲图)的千分尺的读数为
1.735
1.735
mm.
③如果上述实验中双缝与光屏间距为1m,所用双窄缝片是相距0.18mm规格的双窄缝片,则实验中所用单色光的波长为
523
523
nm.

如图所示,某同学用插针法测定一半圆形玻璃砖的折射率.在平铺的白纸上垂直纸面插大头针PlP2确定入射光线,并让入射光线过圆心O,在玻璃砖(图中实线部分)另一侧垂直纸面插大头针P3,使P3挡住P1P2的像,连接OP3.图中MN为分界面,虚线半圆与玻璃砖对称,BC分别是入射光线、折射光线与圆的交点,ABCD均垂直于法线并分别交法线于AD点.

①设AB的长度为L1AO的长度为L2CD的长度为L3DO的长度为L4,为较方便地表示出玻璃砖的折射率,需用刻度尺测量________,则玻璃砖的折射率可表示为________.

②该同学在插大头针P3前不小心将玻璃砖以O为圆心顺时针转过一小角度,由此测得玻璃砖的折射率将________(填“偏大”、“偏小”或“不变”).

(2)在用双缝干涉测光的波长实验中,准备了下列仪器:

A.白炽灯  B.双窄缝片  C.单窄缝片  D.滤色片  E.毛玻璃光屏

①把以上仪器安装在光具座上,自光源起合理的顺序是________(填字母).

②在某次实验中,用某种单色光通过双缝在光屏上得到明暗相间的干涉条纹,其中相邻两条亮纹ab的位置可利用测量头上的千分尺确定,如图所示.其中表示a纹位置(甲图)的千分尺的读数为________mm.

③如果上述实验中双缝与光屏间距为1 m,所用双窄缝片是相距0.18 mm规格的双窄缝片,则实验中所用单色光的波长为________nm.

违法和不良信息举报电话:027-86699610 举报邮箱:58377363@163.com

精英家教网