题目内容

一个质量为m电荷量为q的带电粒子从x轴上的P(a,0)点以速度v,沿与x正方向成60°的方向射入第一象限内的匀强磁场中,并恰好垂直于y轴射出第一象限.请判断粒子带正电还是带负电并求匀强磁场的磁感应强度B和射出点的坐标.(不计重力影响)

答案:
解析:

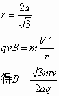
  解:粒子带负电由射入、射出点的半径可找到圆心,并得出半径为

  

  射出点离O的距离为r+rcos60°=

  射出点坐标为(0,).

  评分标准:本题共12分.判断粒子带负电 2分、求出半径r 2分、求出磁感应强度B 4分、求出射出点的坐标 4分.


练习册系列答案
相关题目

违法和不良信息举报电话:027-86699610 举报邮箱:58377363@163.com

精英家教网