题目内容
汽车以恒定功率P由静止开始在水平路面上启动,其所受阻力大小恒为f,经过时间t,汽车的运动速度v1刚好满足P=fv1,在此过程中,( )A.汽车做匀加速直线运动
B.汽车牵引力做功为
C.汽车牵引力做功为Pt
D.汽车最终做匀速运动时的速度大小等于v1
【答案】分析:这题考的知识点是汽车的两种启动方式,恒定加速度启动和恒定功率启动.本题属于恒定功率启动方式,由于功率不变,根据p=Fv可知随着汽车速度的增加,汽车的牵引力减小,此过程汽车做加速度减小的加速运动,当牵引力减小到等于阻力时,加速度等于零,速度达到最大值.
解答:解:A、由于功率不变,根据p=Fv可知随着汽车速度的增加,汽车的牵引力减小,此过程汽车做加速度减小的加速运动,故A错误;
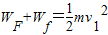
B、根据动能定理得:
,阻力做负功,所以汽车牵引力做功大于
,故B错误;
C、由于汽车功率不变,所以汽车牵引力做功W=Pt,故C正确;
D、当牵引力减小到等于阻力时,加速度等于零,速度达到最大值,
=v1,此后以速度v1做匀速运动,故D正确.
故选CD
点评:本题考查的是汽车的启动方式,对于汽车的两种启动方式,恒定加速度启动和恒定功率启动,对于每种启动方式的汽车运动的过程一定要熟悉.
解答:解:A、由于功率不变,根据p=Fv可知随着汽车速度的增加,汽车的牵引力减小,此过程汽车做加速度减小的加速运动,故A错误;
B、根据动能定理得:
C、由于汽车功率不变,所以汽车牵引力做功W=Pt,故C正确;
D、当牵引力减小到等于阻力时,加速度等于零,速度达到最大值,
故选CD
点评:本题考查的是汽车的启动方式,对于汽车的两种启动方式,恒定加速度启动和恒定功率启动,对于每种启动方式的汽车运动的过程一定要熟悉.
练习册系列答案
相关题目