题目内容
如图所示,在光滑绝缘水平面上放置3个电荷量均为q(q>0)的相同小球,小球之间用劲度系数均为k的轻质弹簧绝缘连接.当3个小球处在静止状态时,每根弹簧长度为l.已知静电力常量为k,若不考虑弹簧的静电感应,则每根弹簧的原长为( )A.
B.
C.
D.
【答案】分析:由于3个小球带同种电荷,互相排斥,所以弹簧处于伸长状态,对小球受力分析,根据平衡的条件列出方程可以求得弹簧的原长.
解答:
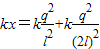
解:对第三个小球受力分析,第三个小球受三个力的作用,
它们的关系是
,
解得
;
所以弹簧的原长为
.
故选C.
点评:对小球进行正确的受力分析是解决本题的关键,分析清楚小球受到的各个力的作用,由平衡条件列方程可以求得弹簧的长度.
解答:
它们的关系是
解得
所以弹簧的原长为
故选C.
点评:对小球进行正确的受力分析是解决本题的关键,分析清楚小球受到的各个力的作用,由平衡条件列方程可以求得弹簧的长度.
练习册系列答案
相关题目
| A、小球P的带电量缓慢减小,则它往复运动过程中振幅不断减小 | B、小球P的带电量缓慢减小,则它往复运动过程中每次经过O点时的速率不断减小 | C、点电荷M、N的带电量同时等量地缓慢增大,则小球P往复运动过程中周期不断减小 | D、点电荷M、N的带电量同时等量地缓慢增大,则小球P往复运动过程中振幅不断减小 |