题目内容
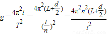
在“利用单摆测定重力加速度”的实验中,测得单摆偏离平衡位置的最大摆角小于5°,完成n次全振动的时间为t,用毫米刻度尺测得的摆线长(悬点到摆球上端的距离)为L,用游标卡尺测得摆球的直径为d(1)用上述物理量的符号写出测重力加速度的一般表达式g=______.
(2).在“用单摆测定重力加速度”的实验中,若测算的g值比实际值大,则可能的原因是______.
(A)摆球的质量过大;
(B)秒表走时比标准钟慢;
(C)将振动次数n错记为(n+1);
(D)测摆长时未计入摆球的半径.
【答案】分析:“利用单摆测定重力加速度”的实验原理是单摆的周期公式
,摆长等于摆线长与摆球半径之和l=L+
.由单摆的周期公式,得到重力加速度的表达式,分析g的误差即可.
解答:解:(1)该实验的实验原理是单摆的周期公式
,摆长等于摆线长与摆球半径之和l=L+d.得:
(2)根据g的表达式可以看出,若测量值偏大,有两种可能性:①摆长l偏大;②周期T偏小.
A:以上的分析与摆球的质量无关,故A错误;
B:若秒表走时比标准钟慢,测量的时间比实际的时间偏小,会导致g偏大.故B正确;
C:将振动次数n错记为(n+1),则
,会导致测量值g偏大.故C正确;
D:测摆长时未计入摆球的半径,则摆长l会偏小,测量值g就偏小.故D错误.
故选:BC
故答案为:(1)
;(2)B、C
点评:本题要知道摆球直径的测量工具,掌握单摆的周期公式,单摆的周期采用累积法测量可减小误差.对于测量误差可根据实验原理进行分析.
解答:解:(1)该实验的实验原理是单摆的周期公式
(2)根据g的表达式可以看出,若测量值偏大,有两种可能性:①摆长l偏大;②周期T偏小.
A:以上的分析与摆球的质量无关,故A错误;
B:若秒表走时比标准钟慢,测量的时间比实际的时间偏小,会导致g偏大.故B正确;
C:将振动次数n错记为(n+1),则
D:测摆长时未计入摆球的半径,则摆长l会偏小,测量值g就偏小.故D错误.
故选:BC
故答案为:(1)
点评:本题要知道摆球直径的测量工具,掌握单摆的周期公式,单摆的周期采用累积法测量可减小误差.对于测量误差可根据实验原理进行分析.
练习册系列答案
相关题目