ÌâÄ¿ÄÚÈÝ

¼ÙÈçÒ»×öÔ²ÖÜÔ˶¯µÄÈËÔìµØÇòÎÀÐǵĹìµÀ°ë¾¶Ôö´óµ½Ô­À´µÄ2±¶£¬ÈÔ×öÔ²ÖÜÔ˶¯£¬Ôò

A£®¸ù¾Ý¹«Ê½v£½¦Ør£¬¿ÉÖªÎÀÐÇÔ˶¯µÄÏßËٶȽ«Ôö´óµ½Ô­À´µÄ2±¶

B£®¸ù¾Ý¹«Ê½F£½mv2/r£¬¿ÉÖªÎÀÐÇËùÐèµÄÏòÐÄÁ¦½«¼õСµ½Ô­À´µÄ1/2

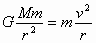
C£®¸ù¾Ý¹«Ê½F£½GMm/r2£¬¿ÉÖªµØÇòÌṩµÄÏòÐÄÁ¦½«¼õСµ½Ô­À´µÄ1/4

D£®¸ù¾ÝÉÏÊöBºÍCÖиø³öµÄ¹«Ê½£¬¿ÉÖªÎÀÐÇÔ˶¯µÄÏßËٶȼõСµ½Ô­À´µÄ

´ð°¸£ºCD
½âÎö£º

ÍòÓÐÒýÁ¦ÌṩÏòÐÄÁ¦£¬F£½£¬Òò´Ëµ±°ë¾¶Ôö´óµ½Ô­À´µÄ2±¶Ê±£¬ÏòÐÄÁ¦½«¼õСΪԭÀ´µÄ£¬ÏßËÙ¶Èv£½½«¼õСµ½Ô­À´µÄ£®


Á·Ï°²áϵÁдð°¸
Ïà¹ØÌâÄ¿

Î¥·¨ºÍ²»Á¼ÐÅÏ¢¾Ù±¨µç»°£º027-86699610 ¾Ù±¨ÓÊÏ䣺58377363@163.com

¾«Ó¢¼Ò½ÌÍø