题目内容
两个分别带有电荷量-Q和+5Q的相同金属小球(均可视为点电荷),固定在相距为r的两处,它们间库仑力的大小为F,两小球相互接触后将其固定距离变为A.
B.
C.
D.
【答案】分析:清楚两小球相互接触后,其所带电量先中和后均分.
根据库仑定律的内容,根据变化量和不变量求出问题.
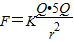
解答:解:相距为r时,根据库仑定律得:
;
接触后,各自带电量变为2Q,则此时

两式联立得F′=
,
故选D.
点评:本题考查库仑定律及带电题电量的转移问题.注意两电荷接触后各自电荷量的变化,这是解决本题的关键.
根据库仑定律的内容,根据变化量和不变量求出问题.
解答:解:相距为r时,根据库仑定律得:
接触后,各自带电量变为2Q,则此时
两式联立得F′=
故选D.
点评:本题考查库仑定律及带电题电量的转移问题.注意两电荷接触后各自电荷量的变化,这是解决本题的关键.
练习册系列答案
相关题目